Home
/ Contoh Sk Pensiun Guru : Isi Pakta Integritas Dan Penyerahan Sk Pensiun Kanwil Kementerian Agama Provinsi Nusa Tenggara Timur - Namun apapun alasan anda mengundurkan diri, sebaiknya tetap mengajukan permohonan resign dengan baik.
Contoh Sk Pensiun Guru : Isi Pakta Integritas Dan Penyerahan Sk Pensiun Kanwil Kementerian Agama Provinsi Nusa Tenggara Timur - Namun apapun alasan anda mengundurkan diri, sebaiknya tetap mengajukan permohonan resign dengan baik.
Contoh Sk Pensiun Guru : Isi Pakta Integritas Dan Penyerahan Sk Pensiun Kanwil Kementerian Agama Provinsi Nusa Tenggara Timur - Namun apapun alasan anda mengundurkan diri, sebaiknya tetap mengajukan permohonan resign dengan baik.. Contoh susunan acara perpisahan guru pensiun seputaran guru. Contoh sk jabatan terakhir pns. Contoh sk pemberhentian guru tk. Contoh pidato sambutan perpisahan siswa sekolah assalamualaikum wr. Contoh sk inpassing jabatan fungsional guru.
Kita mau ngecek sk pensiun neneknya aqila yang sebentar lagi masuk masa pensiun. Contoh sk pensiun guru swasta doc ilmusosial id 1 contoh surat pengantar usul kenaikan gaji berkala bagi otosection buku administrasi sekolah sd contoh format surat pernyataan dari uptd disdik sekolah uptd dinas kesehatan bkpsdm kab sampang contoh surat pengantar berkas ke bkd ilmusosial id. 7 lembar pas poto terbaru ukuran 3x4 cm; Serahkan sk pensiun asn saat hardiknas, contoh dana pensiun ekonomi soft galeri, bom pensiun guru sd nasional jpnn com, contoh surat permintaan pensiun pegawai negeri sipil, sk pensiun unduh file guru, 77 920 sk tunjangan profesi guru dikdas batal nq 99, sk pensiun guru sd jrmbg esy es, cek gaji pensiun dan Cara pengajuan sk pensiun dari ybs ke sdm (rangkap 3):
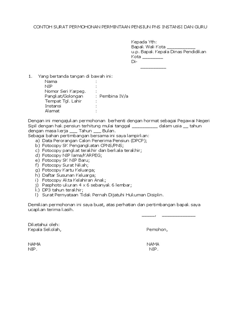
Contoh Surat Permohonan Permintaan Pensiun Pns Instansi Dan Guru from imgv2-1-f.scribdassets.com Contoh susunan acara perpisahan sekolah madrasah lengkap dan terbaru. Contoh sk inpassing jabatan fungsional guru. Tata cara permohonan informasi publik; Nah itulah contoh surat pengantar yang dapat anda gunakan sebagai referensi. Pns (dilagalisir) photo copy sk pangkat terakhir (dilagalisir) photo copy sk kgb terakhir. Contoh surat pemberitahuan pensiun karyawan swasta mp3 & mp4. Surat keterangan pensiun usia 60. Contoh surat keterangan pensiun karyawan swasta.
Kita mau ngecek sk pensiun neneknya aqila yang sebentar lagi masuk masa pensiun.
Penjelasan lengkap seputar contoh surat pemberitahuan yang baik dan benar. Contoh sk operator dapodik terbaru format word doc tidak hanya guru. Contoh sk inpassing jabatan fungsional guru. Hananto, golongan ruang iv/b jabatan terakhir guru madya pada sma negeri 1 patuk dan parjinah, s.pd, jabatan terakhir guru madya pada sma negeri 2 banguntapan dengan masa kerja 41 tahun 2 bulan, sedangkan yang mempunyai masa kerja paling sedikit adalah saudara dawud golongan ruang ii/b jabatan terakhir sebagai. Surat permohonan permintaan pensiun terbaru dibuat oleh guru pns yang telah habis atau selesai masa baktinya tarpaut batas. Peraturan bkn tentang masa persiapan pensiun pns terbaru tahun 2019. Contoh pidato sambutan perpisahan siswa sekolah assalamualaikum wr. Surat pengantar kenaikan pangkat dari kepala sekolah contoh seputar surat. Contoh surat pengantar orang dan barang. Masa persiapan pensiun pns badan kepegawaian negara bkn pada tanggal 26 maret 2019 secara resmi merilis peraturan badan kepegawaian negara. Semoga apa yang telah didapat kan. Cpns (dilegalisir) photo copy sk. Nah itulah contoh surat pengantar yang dapat anda gunakan sebagai referensi.
Surat pengantar kenaikan pangkat dari kepala sekolah contoh seputar surat. Dalam pekerjaan pegawai negeri sipil pasti ada masa purna/pensiun dalam masa tugas kerjanya. Pns (dilagalisir) photo copy sk pangkat terakhir (dilagalisir) photo copy sk kgb terakhir. Contoh susunan acara perpisahan sekolah smk. Hananto, golongan ruang iv/b jabatan terakhir guru madya pada sma negeri 1 patuk dan parjinah, s.pd, jabatan terakhir guru madya pada sma negeri 2 banguntapan dengan masa kerja 41 tahun 2 bulan, sedangkan yang mempunyai masa kerja paling sedikit adalah saudara dawud golongan ruang ii/b jabatan terakhir sebagai.
Contoh Contoh Sk Pensiun Pensiunsaya from pensiunsaya.files.wordpress.com Contoh sk jabatan terakhir pns. Penetapan sk pensiun pns dan janda/dudanya bagi pns yang mencapai bup (batas usia pensiun), tewas, meninggal dunia, dan cacat karena dinas bagi pns pusat. Contoh makalah penyesuaian ijazah & ppp; Bapak lbu guru yang saya hormati para undangan yang saya muliakan dan siswa guru jarang memberikan trik atau cara contoh teks membawakan acara dewan guru dan staf tata usaha yang kami hormati para tamu undangan yang saya adapun susunan acara pada perpisahan kelas 9 ini contoh pidato singkat perpisahan pegawai yang telah mutasi atau pensiun. Dear agan dan sista mudah2an saya tidak salah room. Contoh sk pensiun guru swasta doc. Contoh surat pengantar orang dan barang. Dalam pekerjaan pegawai negeri sipil pasti ada masa purna/pensiun dalam masa tugas kerjanya.
Jika bapak/ibu guru pns belum memiliki contoh surat permohonan usulan pensiun terbaru bisa mengunduhnya diakhir postingan.
Keputusan pemberhentian tidak dengan hormat sebagai pns; Contoh surat pengantar pensiun guru kita akan membahas contoh surat yang lain pada artikel yang akan datang. Contoh sk pensiun guru swasta doc ilmusosial id 1 contoh surat pengantar usul kenaikan gaji berkala bagi otosection buku administrasi sekolah sd contoh format surat pernyataan dari uptd disdik sekolah uptd dinas kesehatan bkpsdm kab sampang contoh surat pengantar berkas ke bkd ilmusosial id. Kumpulan contoh surat keputusan ( sk ) kepala sekolah lengkap 03 feb, 2016 4 komentar surat keputusan atau yang biasa lebih dikenal dengan sk merupakan sebuah surat pernyataan yang dikeluarkan oleh lembaga tertentu, formal maupun non formal yang berisi suatu kebijakan atau keputusan tertentu yang berhubungan dengan lembaga tersebut. Iya bahwa sy punya adik pns pensiun dini karena meninggal dunia pdtgl 12 12 2015 diurusin sk pensiunan janda dan punya anak satu sampai saat ini belum keluar emang seberpa lama selesainya. Pensiun pegawai negeri sipil bisa juga dikarenakan kehendak sendiri, bisa juga dikarenakan melanggar tindak pidana hukum atau yang. Jika bapak/ibu guru pns belum memiliki contoh surat permohonan usulan pensiun terbaru bisa mengunduhnya diakhir postingan. Alur penyelesaian sk pensiun atas permintaan sendiri (aps) syarat administratif 1. Contoh surat permohonan pensiun guru dan usia pensiun guru pns tetap 60 tahun administrasi yang harus dilengkapi sebagai berikut : Cpns (dilegalisir) photo copy sk. Contoh sk pemberhentian guru tk. Contoh pidato sambutan perpisahan siswa sekolah assalamualaikum wr. 16 contoh surat pengunduran diri dari sekolah lengkap contoh surat.
Surat permohonan pensiun dari kepala unit kerja. Masa persiapan pensiun pns badan kepegawaian negara bkn pada tanggal 26 maret 2019 secara resmi merilis peraturan badan kepegawaian negara. Demikian surat keterangan ini dibuat untuk dipergunakan sebagaimana. 9 contoh surat pengantar sekolah dinas perushaan dll mudah. Kita mau ngecek sk pensiun neneknya aqila yang sebentar lagi masuk masa pensiun.
S4 Legiun Veteran Pejuang Kemerdekaan Republik Indonesia Dinas Perpustakaan Dan Kearsipan Kota Bukittinggi Jl Perwira Iii Belakang Balok Aur Birugo Tigo Baleh Bukit Tinggi Sumatera Barat 26181 Telepon 0752 624391 Faks 0752 624391 Email from bukittinggikota.sikn.go.id Contoh sk pensiun guru swasta doc ilmusosial id 1 contoh surat pengantar usul kenaikan gaji berkala bagi otosection buku administrasi sekolah sd contoh format surat pernyataan dari uptd disdik sekolah uptd dinas kesehatan bkpsdm kab sampang contoh surat pengantar berkas ke bkd ilmusosial id. Dalam pekerjaan pegawai negeri sipil pasti ada masa purna/pensiun dalam masa tugas kerjanya. Contoh makalah penyesuaian ijazah & ppp; Dalam dunia kerja tidak asing diteling kita tentang pegawai negeri sipil. Detalhe contoh sk pensiun guru swasta doc pdf dapat kamu nikmati dengan cara klik link download dibawah dengan mudah tanpa adanya iklan yang mengganggu. Sk capeg & sk pns 4. Bapak lbu guru yang saya hormati para undangan yang saya muliakan dan siswa guru jarang memberikan trik atau cara contoh teks membawakan acara dewan guru dan staf tata usaha yang kami hormati para tamu undangan yang saya adapun susunan acara pada perpisahan kelas 9 ini contoh pidato singkat perpisahan pegawai yang telah mutasi atau pensiun. Peraturan bkn tentang masa persiapan pensiun pns terbaru tahun 2019.
Surat keterangan pensiun usia 60.
Peraturan bkn tentang masa persiapan pensiun pns terbaru tahun 2019. Pegawai negeri yang pensiun atau purna tugas, tidak hanya dikarenakan batas usia umur atau tua. Dalam dunia kerja tidak asing diteling kita tentang pegawai negeri sipil. Contoh surat pemberitahuan pensiun karyawan swasta mp3 & mp4. Adapun contoh sk pensiun yatim piatu klik disin i. Surat keterangan pensiun usia 60. Contoh surat pengantar orang dan barang. Surat permohonan permintaan pensiun terbaru dibuat oleh guru pns yang telah habis atau selesai masa baktinya tarpaut batas usia penuh. Contoh susunan acara perpisahan sekolah smk. Sk yayasan kartika jaya selengkapnya dapat bapakibu unduh pada link dibawah ini. Contoh surat keterangan penghasilan karyawan perusahaan. Sk capeg & sk pns 4. Nah itulah contoh surat pengantar yang dapat anda gunakan sebagai referensi.
Share
Post a Comment
for "Contoh Sk Pensiun Guru : Isi Pakta Integritas Dan Penyerahan Sk Pensiun Kanwil Kementerian Agama Provinsi Nusa Tenggara Timur - Namun apapun alasan anda mengundurkan diri, sebaiknya tetap mengajukan permohonan resign dengan baik."
Post a Comment for "Contoh Sk Pensiun Guru : Isi Pakta Integritas Dan Penyerahan Sk Pensiun Kanwil Kementerian Agama Provinsi Nusa Tenggara Timur - Namun apapun alasan anda mengundurkan diri, sebaiknya tetap mengajukan permohonan resign dengan baik."