Home
/ Contoh Soal Fungsi Limit - Contoh Soal Limit Fungsi Aljabar Dan Pembahasannya Lengkap / Seorang tukang memanaskan sebidang besi, sehingga mengalami pemuaian luas sebagai fungsi waktu yaitu f ( t) = 0,09 t2 + 0,3 t (cm 2 ).
Contoh Soal Fungsi Limit - Contoh Soal Limit Fungsi Aljabar Dan Pembahasannya Lengkap / Seorang tukang memanaskan sebidang besi, sehingga mengalami pemuaian luas sebagai fungsi waktu yaitu f ( t) = 0,09 t2 + 0,3 t (cm 2 ).
Contoh Soal Fungsi Limit - Contoh Soal Limit Fungsi Aljabar Dan Pembahasannya Lengkap / Seorang tukang memanaskan sebidang besi, sehingga mengalami pemuaian luas sebagai fungsi waktu yaitu f ( t) = 0,09 t2 + 0,3 t (cm 2 ).. Dalam edisi matematika kesempatan ini akan dibahas tentang berbagai jenis soal yang berhubungan dengan limit fungsi aljabar. Limit suatu fungsi f(x) untuk x mendekati c adalah nilai pendekatan dari f(x) pada saat x mendekati nilai c dan dinotasikan : Soal juga dapat diunduh dengan mengklik tautan berikut: Contoh soal dan pembahasan tentang limit; Contoh soal limit fungsi aljabar dan pembahasannya.
Lim x termasuk juga limit x 0 mulai dari yang mudah dulu tipe soal soal limit yang bisa diselesaikan dengan substitusi langsung seperti contoh berikut. Untuk lebih memahami limit fungsi, perhatikanlah contoh soal dan pembahasan limit fungsi berikut ini. 1 4 2 lim 3 2 = + − → x x x jawab : Tentukanlah nilai dari (un 2009) pembahasan 2: Newer post older post home.
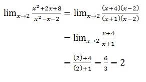
Limit Trigonometri Sudut Teorema Rumus Dan Contoh Soal from www.dosenpendidikan.co.id X 2 + 7x + 12. Pada kesempatan ini kita akan membahas beberapa contoh soal dan penyelesaian limit fungsi menggunakan metode pemfaktoran. Contoh soal limit fungsi aljabar dan pembahasannya. Soal & pembahasan matematika sd, smp & sma. Contoh penyelesaian limit fungsi, fungsi invers dan fungsi komposisi, dan matriks dengan menggunakan matlab soal limit fungsi : Tentukanlah nilai dari (uan 2002) pembahasan 1 : Dalam menghitung soal limit fungsi tak hingga bentuk pecahan, pembilang dan penyebut sama sama dibagi variabel dengan pangkat tertinggi agar jawaban yang didapatkan tepat. Dalam edisi matematika kesempatan ini akan dibahas tentang berbagai jenis soal yang berhubungan dengan limit fungsi aljabar.
Soal juga dapat diunduh dengan mengklik tautan berikut:
Adasaatnya penggantian niali x oleh a dalam lim f(x) x→a membuat f(x) punya nilai yang tidak terdefinisi, atau f(a) menghasilkan bentuk 0/0, ∞/∞ atau 0.∞. Contoh penyelesaian limit fungsi, fungsi invers dan fungsi komposisi, dan matriks dengan menggunakan matlab soal limit fungsi : Besar pangkat pembilang dan penyebut dalam soal di atas adalah 2 sehingga. Contoh soal limit fungsi aljabar. Jika m < n maka l = 0. Penyajian rumus simbol matematika di sini menggunakan latex sehingga lebih smooth dari segi tampilan. Berikut ini adalah contoh soal dan pembahasan super lengkap mengenai limit khusus fungsi aljabar. Recent papers in matematika limit fungsi latihan soal dan pembahasan. Pada artikel ini quipper blog akan mengulas tentang strategi penyelesaian limit fungsi aljabar, aturan l'hopital dan modifikasi turunan, solusi super atau super untuk menyelesaikan soal limit fungsi aljabar, dan contoh soal. 2x 2 + x − 15. Dalam penghitungannya, limit fungsi tak hingga memiliki cara cepat seperti di bawah ini: Lim x termasuk juga limit x 0 mulai dari yang mudah dulu tipe soal soal limit yang bisa diselesaikan dengan substitusi langsung seperti contoh berikut. Konsep limit digunakan untuk menjelaskan sifat dari suatu fungsi, saat argumen mendekati ke suatu titik, atau tak hingga, atau sifat dari suatu barisan saat indeks mendekati tak hingga.
Pada artikel ini quipper blog akan mengulas tentang strategi penyelesaian limit fungsi aljabar, aturan l'hopital dan modifikasi turunan, solusi super atau super untuk menyelesaikan soal limit fungsi aljabar, dan contoh soal. Yuk, simak lengkapnya di bawah ini. Contoh soal limit fungsi dan pembahasannya. Dalam edisi matematika kesempatan ini akan dibahas tentang berbagai jenis soal yang berhubungan dengan limit fungsi aljabar. 3 3 18 3 lim 2 2 = − + − → x x x x x jawab.
Modul Matematika Sma Dan Soal Latihan 03 Teorema Limit from data03.123doks.com Tentukanlah kecepatan perubahan pertambahan luas bidang besi pada saat t. Pada artikel ini quipper blog akan mengulas tentang strategi penyelesaian limit fungsi aljabar, aturan l'hopital dan modifikasi turunan, solusi super atau super untuk menyelesaikan soal limit fungsi aljabar, dan contoh soal. November 2 2019 maret 2 2020 admin contoh soal fungsi limit fungsi limit pembahasan soal fungsi limit postingan ini membahas contoh soal fungsi limit yang mencakup teorema limit dan limit tak tentu tak hingga yang disertai pembahasannya atau penyelesaiannya. Penyajian rumus/simbol matematika di sini menggunakan latex sehingga lebih smooth dari segi tampilan. Semoga ulasan ini bisa membantu kalian dalam memahami materinya. 1 tentukan turunan pertama dari fungsi berikut. Berikut ini adalah contoh soal dan pembahasan super lengkap mengenai limit khusus fungsi aljabar. Limit trigonometri adalah nilai terdekat suatu sudut pada fungsi trigonometri.
Contoh soal dan pembahasan tentang limit;
Contoh soal dan pembahasan limit kelas 11, fungsi trigonometri kelas 12 pdf, doc, limit sepihak, 100 soal pilihan ganda limit fungsi aljabar, pdf, contoh soal un limit fungsi aljabar dan pembahasannya, contoh soal limit mencari nilai a dan b, fungsi. Contoh soal dan pembahasan tentang limit; 1 tentukan turunan pertama dari fungsi berikut. Limit digunakan dalam kalkulus untuk mencari turunan dan kekontinyuan. Kita akan mencoba mencari pengertian atau konsep pendekatan suatu titik ke titik yang lain dengan mengamati dan memecahkan masalah. Contoh soal limit fungsi aljabar menggunakan analisis grafik. Soal yang diberikan pada soal dikerjakan dengan kombinasi pemfaktoran dan memanipulasi dengan identitas trigonometri. Pengertian limit dalam ilmu matematika. November 2 2019 maret 2 2020 admin contoh soal fungsi limit fungsi limit pembahasan soal fungsi limit postingan ini membahas contoh soal fungsi limit yang mencakup teorema limit dan limit tak tentu tak hingga yang disertai pembahasannya atau penyelesaiannya. Penyajian rumus/simbol matematika di sini menggunakan latex sehingga lebih smooth dari segi tampilan. Adasaatnya penggantian niali x oleh a dalam lim f(x) x→a membuat f(x) punya nilai yang tidak terdefinisi, atau f(a) menghasilkan bentuk 0/0, ∞/∞ atau 0.∞. Jika m = n maka l = a / p. 1 4 2 lim 3 2 = + − → x x x jawab :
Contoh soal dan pembahasan limit kelas 11, fungsi trigonometri kelas 12 pdf, doc, limit sepihak, 100 soal pilihan ganda limit fungsi aljabar, pdf, contoh soal un limit fungsi aljabar dan pembahasannya, contoh soal limit mencari nilai a dan b, fungsi. Limit didalam konsep ilmu matematik biasa digunakan untuk menjelaskan suatu sifat dari suatu fungsi, saat agumen telah mendekati pada suatu titik tak terhingga atau sifat dari suatu barisan saat indeks mendekati tak hingga. Limit digunakan dalam kalkulus untuk mencari turunan dan kekontinyuan. Semoga ulasan ini bisa membantu kalian dalam memahami materinya. Dalam penghitungannya, limit fungsi tak hingga memiliki cara cepat seperti di bawah ini:
Limit Fungsi Limit Dari Contoh Soal Dalam Hal Cllkatakan Bahwa Limit Fix X Mendekati 2 Say Na D Ugg 7 Clltuhs 11m F X 7 Pengertian Limit Pdf Document from reader020.staticloud.net Contoh soal limit fungsi dan pembahasan contoh soal limit 1. Limit trigonometri adalah nilai terdekat suatu sudut pada fungsi trigonometri. Soal dan pembahasan limit fungsi. Jika m < n maka l = 0. Limit didalam konsep ilmu matematik biasa digunakan untuk menjelaskan suatu sifat dari suatu fungsi, saat agumen telah mendekati pada suatu titik tak terhingga atau sifat dari suatu barisan saat indeks mendekati tak hingga. 2x 2 + x − 15. Berikut ini adalah contoh soal dan pembahasan super lengkap mengenai limit khusus fungsi aljabar. November 2 2019 maret 2 2020 admin contoh soal fungsi limit fungsi limit pembahasan soal fungsi limit postingan ini membahas contoh soal fungsi limit yang mencakup teorema limit dan limit tak tentu tak hingga yang disertai pembahasannya atau penyelesaiannya.
Pada artikel ini quipper blog akan mengulas tentang strategi penyelesaian limit fungsi aljabar, aturan l'hopital dan modifikasi turunan, solusi super atau super untuk menyelesaikan soal limit fungsi aljabar, dan contoh soal.
Jika terjadi hal tersebut solusinya ialah bentuk f(x) coba sobat sederhanakan agar nilai limitnya dapat ditenntukan. Berikut ini merupakan soal tentang limit tak hingga. Dalam menghitung soal limit fungsi tak hingga bentuk pecahan, pembilang dan penyebut sama sama dibagi variabel dengan pangkat tertinggi agar jawaban yang didapatkan tepat. Limit didalam konsep ilmu matematik biasa digunakan untuk menjelaskan suatu sifat dari suatu fungsi, saat agumen telah mendekati pada suatu titik tak terhingga atau sifat dari suatu barisan saat indeks mendekati tak hingga. Limit biasa dipakai dalam kalkulus dan cabang lainnya dari analisis matematika untuk mencari turunan dan kontinyuan. Lim x termasuk juga limit x 0 mulai dari yang mudah dulu tipe soal soal limit yang bisa diselesaikan dengan substitusi langsung seperti contoh berikut. Besar pangkat pembilang dan penyebut dalam soal di atas adalah 2 sehingga. Selain dengan metode substitusi, metode pemfaktoran, dan dalil l'hospital, kita juga dapat menentukan nilai limit dari suatu fungsi dengan menggunakan metode perkalian sekawan. Penyajian rumus/simbol matematika di sini menggunakan latex sehingga lebih smooth dari segi tampilan. Kita akan mencoba mencari pengertian atau konsep pendekatan suatu titik ke titik yang lain dengan mengamati dan memecahkan masalah. 2x 2 + x − 15. Perhitungan limit fungsi trigonometri bisa langsung disubtitusikan seperti limit fungsi aljabar tetapi ada fungsi trigonometri yang harus diubah terlebih dahulu ke identitas trigonometri untuk limit tak tentu yaitu limit yang apabila kita langsung subtitusikan nilai nya bernilai 0. Limit digunakan dalam kalkulus untuk mencari turunan dan kekontinyuan.
Share
Post a Comment
for "Contoh Soal Fungsi Limit - Contoh Soal Limit Fungsi Aljabar Dan Pembahasannya Lengkap / Seorang tukang memanaskan sebidang besi, sehingga mengalami pemuaian luas sebagai fungsi waktu yaitu f ( t) = 0,09 t2 + 0,3 t (cm 2 )."
Post a Comment for "Contoh Soal Fungsi Limit - Contoh Soal Limit Fungsi Aljabar Dan Pembahasannya Lengkap / Seorang tukang memanaskan sebidang besi, sehingga mengalami pemuaian luas sebagai fungsi waktu yaitu f ( t) = 0,09 t2 + 0,3 t (cm 2 )."